[실무로 통하는 인과추론 with 파이썬]을 읽고 내용을 정리한다.
(스터디) 실무로 통하는 인과추론 with 파이썬 - PART 4에서 이어집니다.
PART 5. 대안적 실험 설계
10장 지역 실험과 스위치백 실험
지역 실험 & 스위치백 실험: 실험 대상의 수가 적을 때 대안적 실험 설계 방법
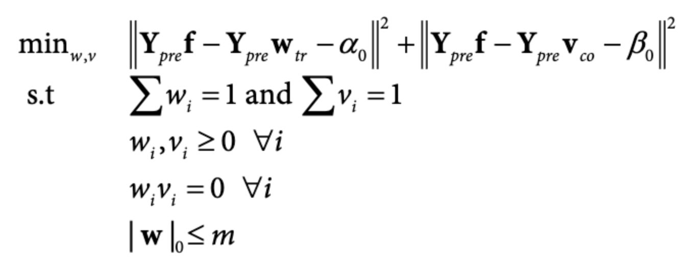
통제집단합성법
- 목표: 전체 실험 대상의 평균 행동을 근사하는 소규모 실험 대상 집단을 찾는 것
- 장점:
- 실험 대상의 수가 상대적으로 적을 때 매우 유용하다.
- 평균을 잘 재현하는 실험 대상에 처치할 수 있다.
- 이월 효과의 차수가 커서 처치효과가 사라지는 데 오랜 시간이 걸리는 경우에 적합하다. → 이월 효과의 차수가 작을 때는? 스위치백 실험

f: 각 실험 대상이 전체 평균에 기여하는 가중치
w: 가상의 실험군에 대한 가중치
v: 가상의 대조군에 대한 가중치
m: 실험군의 최대 수에 대한 제약조건
스위치백 실험
- 동일한 실험 대상에 처치 배정과 미배정을 반복하면서 전후 비교를 여러 번 수행하는 방식
- 장점: 실험 대상이 매우 적거나 하나뿐인 경우에도 사용할 수 있다.
- 특징: 처치 확률과 랜덤화 지점 또는 랜덤화가 이루어지는 기간에 따라 정의된다. → 이월 효과의 차수인 m이 0보다 큼을 안다면, 최적 설계는 m+1 기간마다 랜덤화하는 것

11장 불응과 도구변수
불응: 서비스나 제품의 제공 여부를 무작위로 결정하더라도 고객이 이를 받아들이지 않는 것 → 처치를 배정받은 모든 사람이 처치받지 않음을 의미
불응이 일어날시, 회사가 제품의 이용 가능성을 무작위로 배정하더라도 고객의 선택이 제품이나 서비스의 효과를 교란시킨다.
처치 배정과 처치 적용을 분리하면 4그룹으로 나뉜다.
- 순응자: 자신에게 배정된 처치를 받는 사람
- 항시 참여자: 배정과 관계없이 항상 처치 받는 사람
- 항시 불참자: 배정과 관계없이 항상 처치받지 않는 사람
- 반항자: 배정된 처치와 반대되는 처치를 받는 사람
문제: 각 그룹에 누가 속해있는지 알 수 없다. → 도구변수 활용
도구변수 Z
- 정의
- 교란 없이 처치에 영향을 주는 변수
- 처치를 거치지 않으면 결과에 영향을 미치지 않는 변수
- 한 방향으로만 처치를 준다고 가정하면 (단조성 가정) 순응자에 대한 평균 처치효과를 파악할 수 있다.

- 순응률이 낮으면 Z 추정값의 분산은 OLS의 분산보다 훨씬 커질 수 있다.
- ex) 순응률 = 50%이면, 순응 문제가 없는 경우(순응률 = 100%)와 동일한 표준오차를 얻기 위해서는 4배 더 많은 표본이 필요
- → OLS처럼 결과를 잘 예측하는 변수를 찾아야 한다.
'데이터' 카테고리의 다른 글
| CQGR로 우리 서비스의 성장률 측정하기 (1) | 2025.01.26 |
|---|---|
| Databricks에서 원하는 조건의 순서에 맞게 배열 정렬하기 (1) | 2025.01.12 |
| (스터디) 실무로 통하는 인과추론 with 파이썬 - PART 4 (1) | 2024.12.04 |
| (Dataquest) Spark를 활용한 대규모 데이터셋 분석 (2) | 2024.11.24 |
| (스터디) 실무로 통하는 인과추론 with 파이썬 - PART 3 (1) | 2024.11.22 |